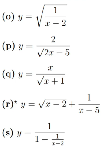
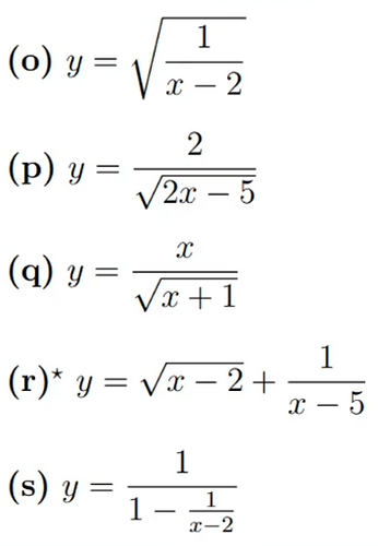
Here’re a few questions on finding domains from the concept series on Functions:
For (o), y = 1/√(x − 2), the condition is x − 2 > 0, and so, x > 2. So, the domain is all real numbers greater than two. We’ve two constraints here:
- Anything within the radical has to be greater than or equal to zero
- The denominator cannot be zero
So, the above constraints imply x − 2 cannot be zero but has to be greater than zero. Similar is the case with (p) and (q). For (p), the domain will be all real numbers greater than 5/2, and for (q), the domain will be all real numbers greater than −1.
For (r), x − 2 ≥ 0, and so, x ≥ 2. But, x ≠ 5. So, the domain would be all real numbers greater than or equal to two except five.
Simplifying (s) yields y = (x − 2)/(x − 3), and so, the domain is all real numbers except 3. When I go back to the original equation, I find that x equals 3 does not work because then, the denominator would be zero that will explode the world, and we do not want that.
Have I got the domains pinned down correctly?
