Why are no cases included in the solution? For clarification, screenshots are uploaded.
You can use casework (similar to your idea), but that’s very time consuming. Also your numbers for the casework isn’t quite right (hence the wrong answer).
The actual casework would look something like this:
Case 1: (5,5,5,5,5,5) → \left(\frac 16\right)^6
Case 2: (5,5,5,5,5,6) → \left(\frac 16\right)^6 \cdot \frac{6!}{5!}
Case 3: (5,5,5,5,6,6) → \left(\frac 16\right)^6 \cdot \frac{6!}{4! \cdot 2!}
Case 4: (5,5,5,6,6,6) → \left(\frac 16\right)^6 \cdot \frac{6!}{3! \cdot 3!}
Case 5: (5,5,6,6,6,6) → \left(\frac 16\right)^6 \cdot \frac{6!}{2! \cdot 4!}
Case 6: (5,6,6,6,6,6) → \left(\frac 16\right)^6 \cdot \frac{6!}{5!}
Case 7: (6,6,6,6,6,6) → \left(\frac 16\right)^6
These are the cases where you get a number greater than 4 on all 6 throws, so 1- (probability of your cases) gives you the probability of getting a number greater than 4 at most 5 times.
This should give the right answer of:
The probability is \frac 16 and not \frac 13 because you’re considering cases where you’re specifically looking for 5 and 6 individually.
As for the actual solution, you don’t need casework.
Let the random variable X denote the amount of numbers greater than 4 in 6 turns.
You should have:
P(X = 1) + P(X = 2) + P(X = 3) + P(X = 4) + P(X = 5)+ P(X = 6) = 1
P(X = 6) is the case where all 6 of the numbers are greater than 4.
In other words, for each slot in _ _ _ _ _ _, you just have \frac 13 to account for either 5 or 6. This leads you to \left(\frac 13\right)^6
so 1 - P(X = 6) = P(X = 1) + P(X = 2) + P(X = 3) + P(X = 4) + P(X = 5)
As an extra note:
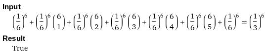
Notice how the sum of all your caseworks is equivalent to \left(\frac 13\right)^6, so yeah nothing’s off.




