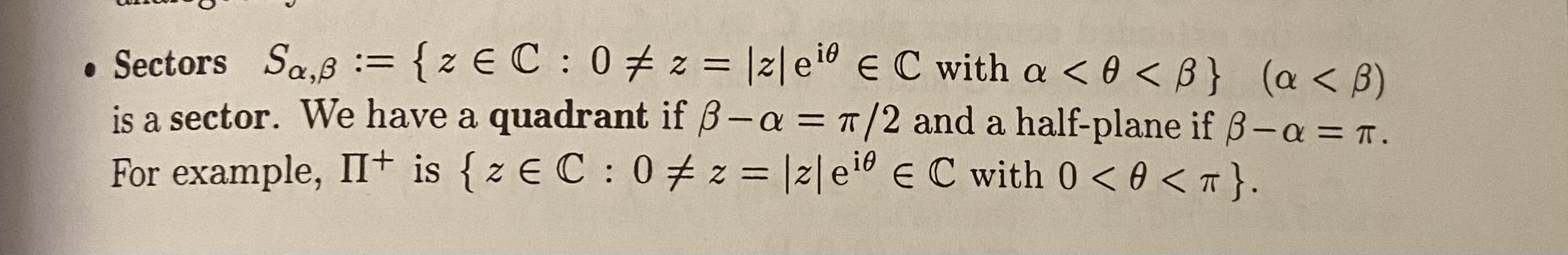
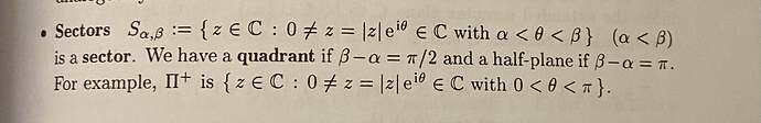
Here, the correct answer is given as B (sector POQR is bigger). This would make sense normally, but no information is given about angle POQ. What if this angle is 0? In that case, won’t the two perimeters be the same?
The central angle can’t be 0 degrees.
Thanks! Any specific reason for that? There doesn’t seem to be any information in the question that stops us from assuming that. Is this a GRE convention?
Yes, because otherwise it collapses into a line. You can assume that \angle POQ > 0, but not the exact value of \angle POQ.


