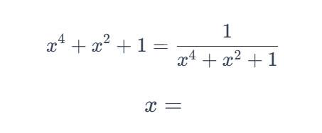
If we let t = x^4 + x^2 + 1, we can transform the equation into t^2 = 1. Do you see how you can follow this through?
A major hint is to also note that x^4 + x^2 \geq 0 for all real x.
Yesss I can work that out… Thank you!
If we let t = x^4 + x^2 + 1, we can transform the equation into t^2 = 1. Do you see how you can follow this through?
A major hint is to also note that x^4 + x^2 \geq 0 for all real x.
Yesss I can work that out… Thank you!